click this

ScuzzBlog: Diaries October 2017

Entry 9th October 2017: Post: 3


Amiga - Fitting Stuff
 

For no other reason than for my selfish need to remember one or
two basic essentials as I go through my paperwork

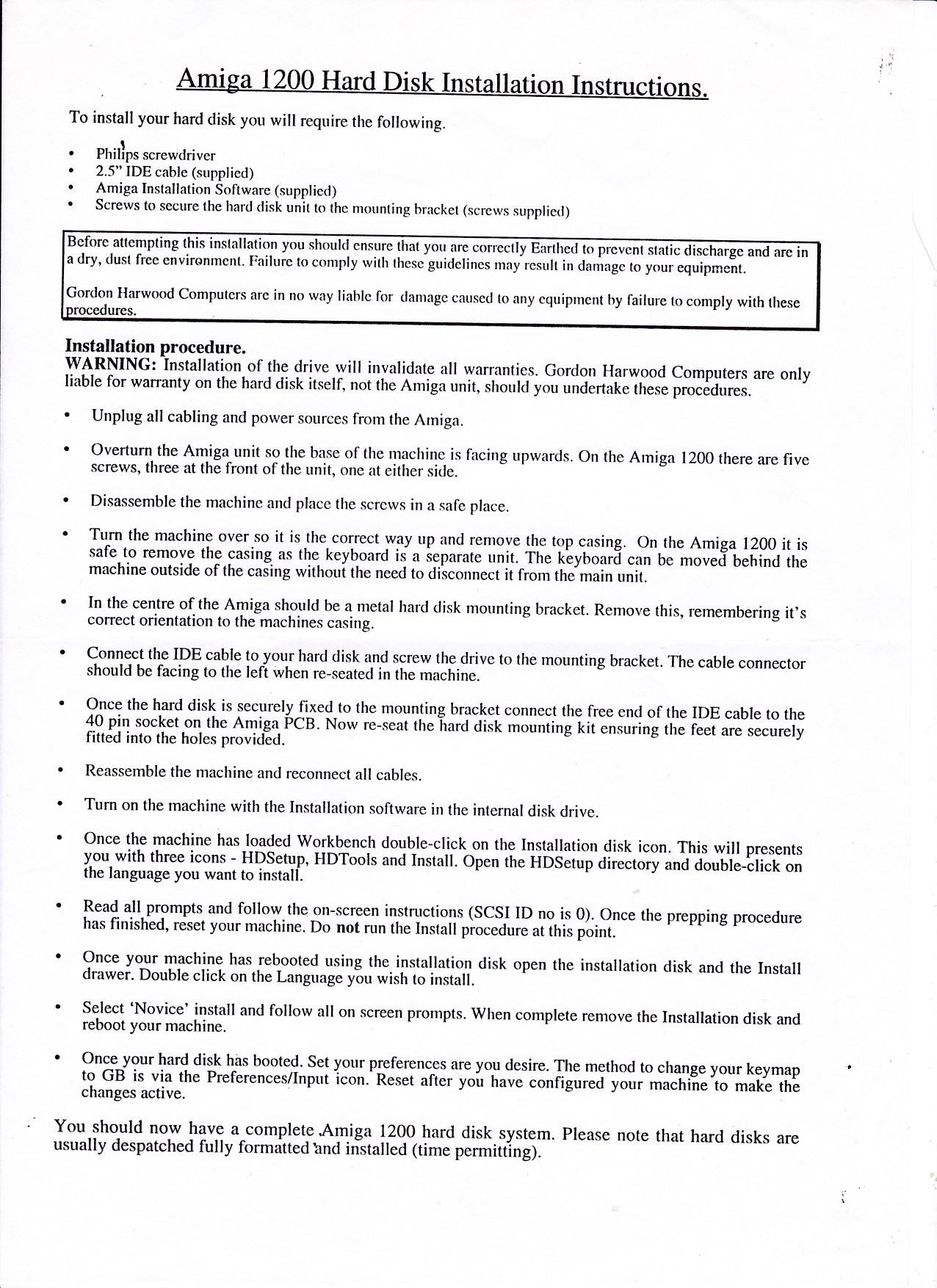
A600/A1200 2.5" hard drive install

A600/A1200 2.5" hard drive install

A1200 fitting ROMs
Ignore my scribbles

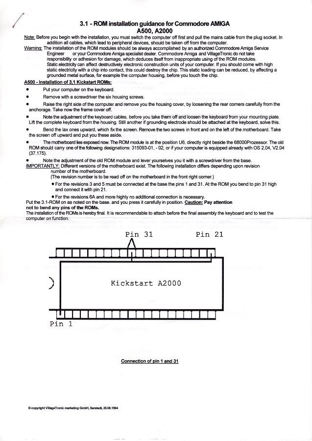
A500/2000 ROMs

A500/2000 ROMs

A1200 hard drive install


scuzz site

If you can only see this CONTENT window
then click the image above for the full site

Last updated 09/10/2017

Chandraise Kingdom

Keep the Faith